本网讯(文/图 史铠)学校废弃物无害化与资源化利用科研创新团队近期在国际期刊Sensors and Actuators B: Chemical(中科院一区,IF=7.7)上发表题为A novel label-free electrochemical aptasensor for sensitive and selective detection of microplastics based on split gRNA with CRISPR/ Cas12a-mediated cascade strand displacement的文章,论文第一作者为史铠副教授,通讯作者为江滔教授。本研究获得国家自然科学基金(22204066、52200056)和四川省科技厅中央引导地方项目(2023ZYD0091)的资助。


图1 图文摘要
——本研究开发了一种基于适体与CRISPR/Cas12a系统耦合的策略,用于微塑料的选择性检测。
——通过采用分裂gRNA与CRISPR/Cas12a介导的级联链置换反应,结合活性Cas12a酶,实现了微塑料的高灵敏度检测。
——通过整合G-四链体结构,成功构建了一种适用于实际样品中微塑料免标记检测的电化学生物传感器。
2. 文章内容:
CRISPR/Cas12a(SCas12a)介导的级联链置换反应及适体(命名为CRISPR-MP系统),开发了一种新型无标记电化学生物传感器,用于微塑料的高灵敏度和高选择性检测。在该CRISPR-MP系统中,目标物聚氯乙烯(PVC)/聚苯乙烯(PS)可触发SCas12a介导的级联链置换反应,进而激活SCas12a的DNA酶活性。通过切割金电极表面G-四链体/血红素复合物的DNA探针,活性Cas12a可引发电化学信号的降低。该电化学适体传感器对PVC和PS的检测限分别达到37 ng/mL和45 ng/mL。本研究开发的CRISPR-MP系统拓展了CRISPR技术在微塑料检测中的应用,在人体健康保护和环境监测领域展现出重要应用前景。

图2 CRISPR-MP系统的凝胶电泳(A),循环伏安(B)和阻抗(C)表征

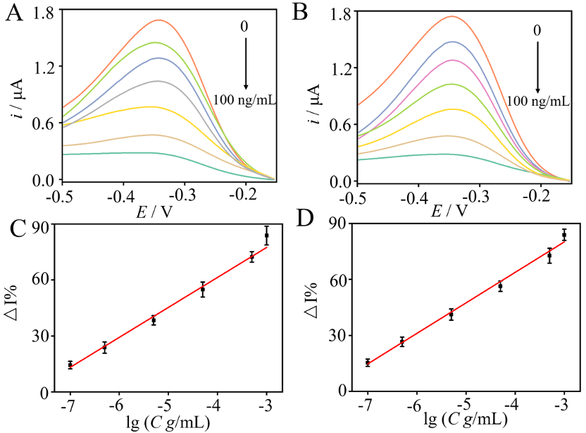
图3(A、B)不同浓度PVC/PS的DPV电流信号响应;(C、D)PVC/PS浓度与DPV电流信号响应的线性关系

图4探究CRISPR-MP系统的选择性(A),抗干扰性(B),重复性(C)及稳定性(D)。
3. 文章结论:
本研究开发了一种基于SCas12a介导级联链置换反应的新型电化学适体传感器(命名为CRISPR-MP系统),用于微塑料检测。所构建的CRISPR-MP系统具有三大技术优势:(1)通过引入高亲和力微塑料适体,显著提升了检测选择性;(2)相较于传统CSDR-Cas12a策略,采用Cas12a的sRNA作为燃料探针,简化了探针设计;(3)基于无标记电化学信号输出及sRNA驱动的CSDR与活性分裂Cas12a双重放大机制,该系统对聚氯乙烯(PVC)和聚苯乙烯(PS)的检测限分别达到37 ng/mL和45 ng/mL。该研究不仅拓展了CRISPR-Cas技术在微塑料检测中的应用前景,更为环境监测能力的提升提供了重要战略价值。
全文链接:https://doi.org/10.1016/j.snb.2025.138491
